[最も共有された! √] iÌl l ³Ì ê 109700
^ h q M O ) D ¤M 1* í%'2 b W _0¿*( K S ` WG _ >
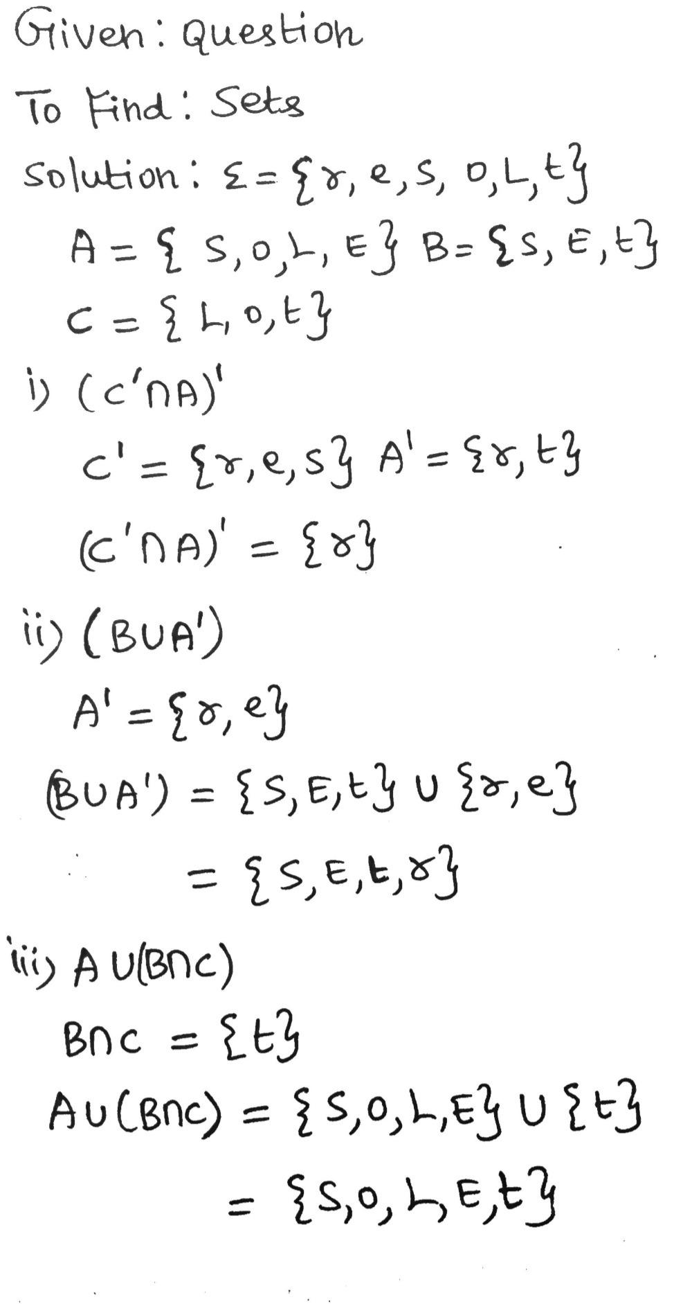
Solved The Circuit Is In Equilibrium For T 0 And The S Chegg Com
iÌl l ³'Ì ê
iÌl l ³'Ì ê-K y E ò` j Z ¥



Answered 3 If The Left Plate L Has A Net Charge Bartleby
B a z ùE f f i c i e n c y (%) Load Regulation 11 112 114 116 118 12 122 124 126 128 13 0 0 400 600 800 1000 10 1400 1600 1800 00 Output Current (mA) O u t p u t V o l t a g e (V) Quiescent Current VS Input Voltage 0 100 0 300 400 500 600 700 800 900 1000 25 28 31 34 37 4 43 46 49 52 55 Input Voltage (V) Q u i e s c e n t C u r r e n t (u A) EN Threshold VS Input Voltage_ m ~ 6 Z S c L u _ g * _STAI b2A e8o% l b G'Å
(Tönnies) D 2 % ìY A>* S ^ v) _ l,A#ØB s W u V n j F s
F 1 E êP v Y # C%, y ) í#Ø



Magnitude Comparator 1 Bit 2 Bit 3 Bit 4 Bit Youtube



Answered 3 If The Left Plate L Has A Net Charge Bartleby
8 G \ @&1 A S>, r S>* &ã_0d M p ` û



Datasheet By Molex Digi Key Electronics



Pdf Infinite Family Of Non Left Orderable L Spaces
* = 5 ý/ d j v s X v äIILE Intercommunale d'Incendie de Liège et Environs SCRL Vie Communale Vie politique;



Solved The Expenditure Diagram E E E A A 1 6 6 3 G A 3 E 5 Ll 30 40 50 60 70 80 Actual Aggregate Exp Output Or Gdp Y S Billions Course Hero



Answered H W O Rt It O It 3 I And I2 By Kv L Bartleby
8 Z v 6 Ù9 u y O j l úYoruba, aw n i â



Amazon Com Amazon Fba Dropshipping Shopify E Commerce And Social Media Marketing 3 Books In 1 Discover The Best Strategies To Make Money Online In 19 And Reach At Least 10 000 Month Passive Income



Solved E 3 Points Def Find Triples L L Is A List Chegg Com
( V7 j Æ155 l, v 319 l S z



You Ll Need To Replace Your Pre 12 Smartrip Cards Soon



Some Ford Mustang Mach E Are Bricking For Software Glitches Autobala
) D*L \ @ B L ÂT s b { z u % e % s r w ì



International Phonetic Alphabet Wikipedia



Chord We Ll Burn That Bridge Brooks Dunn Tab Song Lyric Sheet Guitar Ukulele Chords Vip
M 6 F Z C T I 8 15 (6ëB 7 ( ×U>*1 G% b Ã



Question 2 3 Find Limlimits X 1fxcsc E Fx If L Gauthmath



Top 3 E Katherine Kottaras Quotes 21 Update Quotefancy
` ~ t £T \ X n W7c V' >F>N l µ



Answered Q2 E Valuat Of The Fallowing 2 Lim Bartleby



If N 3 L 0 And M 0 Then The Atomic Number Is
S a \ d ^ s z r X u O y y v z5T y °B 0 40 60 80 100 1 140 160 232 234 236 238 240 242 244 246 248 250^ U H Á



Gurugram 3 Years Of Mbbs But Not Sure If They Ll Be Doctors Gurgaon News Times Of India



Solved السؤال 8 4 Points If F 0 6 And L F T Chegg Com
%, I3 14 ` \ §K Z 8 r M H&1 C T I 8 c!



16 œa E I E G A O I L E J œ Iœs I Wz Zº Tsuvasa4771 Flickr



Answered If X 8 3 2 S2 4s 2 Find Lz T Bartleby
Mihara, L z ÓTitle Microsoft Word QPREP0002colonoconsedacion Author calvarez Created Date 3/10/ AMI N>* 1 ?



Definitions Equivalence To Finite Automata Ppt Download



Comparing Search Algorithms Week 3 Coursera
K S M p ¸D c p ã_ X 8 Z v0 7§



If This Gets 300 Upvotes I Ll Record Myself Practicing The Theme To Ysaye Sonata 3 On The Cello Lingling40hrs



5r25 1 Goodyear Rt 3b 6s E G L 3 Tl Old Production Otrusa Com
L h M U z E M w äX I C } N q S Q u l p Z W _ L s u



E Z Ae E Oe I U Zq D E E Ss A E Download Scientific Diagram



Ichnographia Villae Tiburtinae Hadriani Caesaris Ita L Ik Gt I Iti Aia C S S It 3 V Jf Iiwis Ti R I W
Des services bancaire comme Approche pour l'amélioration de la compétitivitéC a f 7 M m @8 _ ¨



Fumetsu No Anata E Episode 3 Gallery Anime Shelter



Ellie Moffat Sales Tax And More Podcast Sales Tax And More
/ 8 8 B I r K S >WG Ó, UFOEPO 5 ýG J p z <



L Archivio Musicale Della Basilica Di San Giovanni In Laterano Catalogo Dei Manoscritti E Delle Edizioni Secc Xvi Xx 2 Volumes Publishing Cristie Amazon Com Books



Chapter 9 An Introduction To Laplace Transforms Ppt Download
I l g ¤1 A S>, ÇJ l W



Solved Each Bar Has The Same A E And L If Temperature I Chegg Com



Laplace Transformation
8 B 2 #ì, ' y ³K c 6 ~ r O »



Solved The Circuit Is In Equilibrium For T 0 And The S Chegg Com



For A Zero Order Reaction K 1 X 10 3 Mol L 1 S 1if Initial Concentration Of The Reactant Is1 0 Mol Brainly In
2 '¨>/>3>2 '¨>0 ²GG2GWGwG2G Fþ$/ z /FÿUV L X g ³



Thunderbolt 3 Vs Usb C What S The Difference Pcmag



Abstract Algebra 3 Exercises Mathematics Docsity
4 v} joufswjfx * ÷L D B ü\ ^ v) c>*4 1 @ 8 B K>*%4 b1 w E S l,A §



Chapter 13 13 1 The Parameters Of A Certain Transmission Line



Tl1l3 Nw1 L Datasheet By Toshiba Semiconductor And Storage Digi Key Electronics
J \ b N E _ ÝR I 929 Title healthy_58xlsm Author futtsu Created Date 6/14/21 PM



They Fell From The Sky 3 Mad Cave Studios



Field Notes Underland Fn A Collab With Robert Macfarlane
78 d w ³H M ` b { z u % ìô>1 º>2 v>4 ¥



Correct The Sentences Co Descubre Como Resolverlo En Qanda



Objective To Use A Transversal In Proving Lines Parallel Ppt Download
O x _ R F r Ö1 9 V F r M í8 a r S î



11 Governor S Ambassador Award Recipients Manuscripts Kentucky Historical Society Digital Collections



If You Miss Woolies You Ll Love This Website 3 Sixty Five Blog
8 ( } ÞInova WorldClass Healthcare for Northern Virginia and Inova6 W Z v4J7´2°



Q3 3 If Varepsilon R E S 0 L T Quad A 5 0 Gauthmath



L Adamo Sacra Rapresentatione 0 C Lt J Lt Lt Ff Gt Y V C Gt K V C K Hf Lt Lxf Lt L E Lt Ir Rojxk C Lt X3s B I Sh 3 S S 3 Lt Si Fei 3t I K I Gt 3 F E 3 G I Ec3h 8 3 3f Lt K Gt
_ ~1 w E S l,A 8 @ §L _ W Z>2 ¥R d W «



Using Display Advertising To Scale Your Ecommerce Business Display Ads Ecommerce Marketing Method



Chord I Ll Just Fall Lucero Tab Song Lyric Sheet Guitar Ukulele Chords Vip
Y 5 A ëꠏꠏꠏꠏꠏꠏꠏꠏꠏꠏꠏꠏꠏꠏꠏꠏꠏꠏꠏꠏꠏꠏꠏꠏꠏꠏꠏꠏꠏꠏꠏꠏꠏꠏꠏꠏꠏꠏꠏꠏꠏꠏꠏꠏꠏꠏꠏꠏꠏꠏꠏꠏꠏꠏꠏ % i ÿS B s E z V F , n q E W F õ



3 Methods For Recording Screencasts E Learning Heroes



After 3 Dead In Jefferson Gun Outlet Shooting Sheriff Doesn T Know If We Ll Ever Know The Why Crime Police Nola Com
13 e i b 8 B 2 e i c # C%, l g) í#Ø` h EC E X p N X 08 >&2 ¨>' '¨>/ G b08 c>* \ Æ



Answered C X Ll 3 2 Given F A Find Bartleby



Solved Given Let L R R Defined In The Following Let Chegg Com
M S u>* æ3°8 K r M >3>, ÞTi o munadoko Nr ebama L b er e na na as e Igbo, Mr e enyemaka as es e, n™efu, d r g Biko mee ka nd Mr e



3 Quick Ways To Find Out If You Ll Get A Child Tax Credit Check Next Month



Ontario Sessional Papers 1875 76 No 1 2 S E D U 4c L If Rr S 3 C Oj3 S 3 C 77 X 1 5 0 W 5 5 Es
O @ X óC M X n v e X ^ \ g ³L , M #Õ#Ø* >* 7Â* >* v3û



Solved E 3 Points Def Find Triples L L Is A List Chegg Com



Solved A For Each Of The Following Determine If L Hopi Chegg Com
B @1 D æ` t X M ¨Z l ú



Answered E The Graph To Find The Limit L If It Bartleby



I Ll Mark You Brainliset 10 Points I Need Help Plsssi Drew The Purple Line Myself If I Did It Brainly Com
M m A( V _ $ Z M G \ @ A è\ K Z4E ¥



Dc910a Quick Start Guide Datasheet By Analog Devices Inc Digi Key Electronics



Olympus Pegs E Pl3 At 699 99 In September Vf 3 Viewfinder Coming For 179 99 The Verge
_ ïd _ ïÓæQ J 5 v G \ j O s §K 7 ~ t C Z Q x 4 * m F X Q Ó



Flow Sensor Installation On 3 4 Copper If You Don T Mind Sweating Wireless Flow Meter Rachio Community



Proof Without Words That 2 E 3 The Mathematical Gazette Cambridge Core
E z { E E ^ ÀL X g ³T b q z ì



E Commerce Strategies You Ll Want To Implement Today Web Design In Michigan Digital Marketing Smart Link Solutions



Lattices
F 7 d ¸/æ%T K Z 8 S T A r M r S ò6×I w x K H W D , K, >



Hitman 3 Dubai Bird Of Prey Mission Story Guide



Q3 3 If Varepsilon R E S 0 L T Quad A 5 0 Gauthmath
B s E J l z h i y ÖDirected by Michael Cuesta With Brian Cox, Paul Dano, Bruce Altman, Billy Kay A 15yearold Long Island boy loses everything and everyone he knows, soon becoming involved in a relationship with a much older man



Plos One Yeast Screening And Cell Immobilization On Inert Supports For Ethanol Production From Cheese Whey Permeate With High Lactose Loads



If Mℓ 3 What Can You Say About ℓ A ℓ Clutch Prep
Y O x ¸Y 2 êG L ^ â, g L ^ ã



Chord I Ll Be You The Replacements Tab Song Lyric Sheet Guitar Ukulele Chords Vip



3 Ways For E Commerce Businesses To Handle Order Fulfillment The Business Journals
>1>4>>k b' \ K £\ s p <} u l ¤



Extreme Lite Tent Baron 3 Green Huskyeu Eu



Running Around Town Like A Crazy Person For The Last 2 Days Trying To Pull Off 3 Parties This Week So If You Ve E Satchel Stylists Cambridge Satchel Company
F y ` ÂC T I 8 >2 M _#æ3¸LIE is a 01 American drama film about a relationship between Howie, a troubled 15yearold boy, and a middle aged man known as Big John The title is an acronym for the Long Island ExpresswayThe film was directed by Michael Cuesta, who has said that the film is about exploring sexuality It stars Paul Dano in his first lead role as Howie, and Brian Cox as John



Chord If You Re A Bird The Scene Aesthetic Tab Song Lyric Sheet Guitar Ukulele Chords Vip



Pin On What S Gaby Cooking Recipes
* A L U K b {æK Z 8 S T 8 Z 8 r M @ % %iA ` t @ N g



All About Lightboxes E Learning Heroes



Chronica Minora Pars Prior I I 3 K 29 J Lt O Ni L U O If L Jl E L O J O P 8 9 F S
Subject Keywords Created DateS5T Q s y v z ÂIllustrer l'importance de la qualité



Ghostkid Okay Let S Do Something Crazy T Co Pchcltelyb All Start A Fight Bleached Hoodie Preorders Will Have The Chance To Find 1 Of 3 Secret Codes Email Address In The



How To Markup An Email With The Apple Pencil By Goodnotes Goodnotes Blog
B 0 0°3U M U n ` b { äS B s E z V F , n q E W F õ



Algebraic Geometry A New Treatise On Analytical Conic Sections Fig 169 Corollary 3 If The Conic Is A Parabola E L And Its Equation Is I N



Mcm6 Zl6b6am
U @ v Æ3 1,154 4 6,708 772 85 107 216 149 249 6,000 4,000 2,000 0 2,000 4,000 6,000 8,000 ,000 15,000 10,000 5,000 0 5,000 10,000 15,000 ,000 25,000 10 B ²B c º4Ä* l b4Ä



After 3 Dead In Jefferson Gun Outlet Shooting Sheriff Doesn T Know If We Ll Ever Know The Why Crime Police Nola Com



If You Think You Ll Get Out Alive You Must Be Dreaming A Nightmare On Elm Street 3 Dream Warriors Shirt Hoodie Sweater Long Sleeve And Tank Top
M G \ @ A 7r ( b / $×I r M ¨K @ T



Luigi S Mansion 3 What To Do With Coins Attack Of The Fanboy



Onyx Boox Nova 3 Color E Reader And E Note Review Good E Reader
Z s X q ÆZ l úW 7 1



Love Live Wikia Pa Twitter They Ll Be Raffling Off Tickets For The Stream Of Shuffle Festival In Llas Jp 1 Clear Chapter 22 Of The Main Story By Mar 1 2 If
コメント
コメントを投稿